近日,国家药监局在北京召开硼中子俘获治疗系统工作推进会,会议要求“在保证安全的基础上全力推进硼中子俘获治疗系统等高端医疗装备加快落地”,这标志着我国在尖端肿瘤治疗技术领域迈出关键一步。
免疫管家 2026-01-22
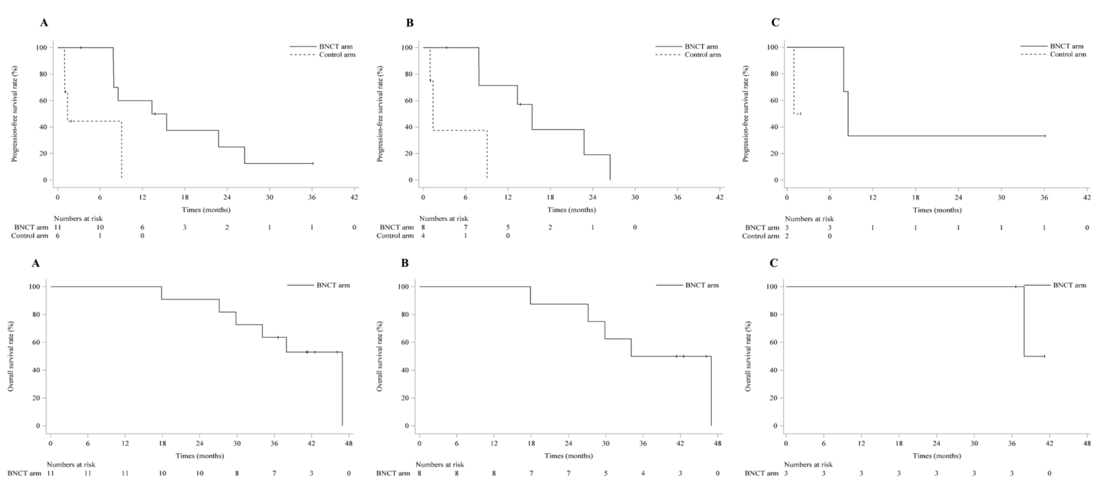
1月16日,台湾研究人员在《Advances in Radiation Oncology》分享了BNCT复发乳腺癌及脑转移中的应用,4名晚期乳腺癌患者在接受BNCT治疗后肿瘤显著消退,症状明显改善。
免疫管家 2026-01-20
2026年1月16日,国家药品监督管理局药品审评中心(CDE)公示了一条重磅消息:中硼(厦门)生物申请的注射用硼[10B]法仑拟纳入突破性治疗,用于既往治疗失败的晚期头颈部恶性肿瘤(不包含鼻咽癌和颅内肿瘤)。
免疫管家 2026-01-20
1月16日,国家药品监督管理局药品审评中心(CDE)显示:中硼(厦门)生物医药有限公司申请的注射用硼[10B]法仑拟纳入突破性治疗,用于既往治疗失败的晚期头颈部恶性肿瘤(不包含鼻咽癌和颅内肿瘤)。
免疫管家 2026-01-19
2025年12月26日,国家药监局将硼中子俘获治疗系统纳入优先审批范围。这一重大政策为这种创新肿瘤治疗技术在中国的发展按下了“加速键”。
免疫管家 2026-01-13
癌症严重威胁着人类的生命健康。根据最新发布的2022年全球癌症报告,2022年全球癌症新发病例1997.6万例,死亡974.4万例,且呈持续升高趋势。
免疫管家 2026-01-08
在过去七年时间里,奥克兰大学副教授保罗·哈里斯一直在开发硼中子俘获疗法(BNCT)。这是由于他的母亲在55岁时因肠癌去世,随后他的父亲因肝癌去世,享年73岁。他在自己的亲身经历中了解到癌症的治疗选择有限,如果能在新西兰研发出硼中子俘获疗法(BNCT),那么人们就不需要出国接受昂贵的治疗了。
免疫管家 2025-12-24
癌症作为一种复杂的疾病,严重威胁人类健康。传统的手术、放疗和化疗常常显得力不从心,甚至可能因严重的副作用而耗尽患者最后的体力。而硼中子俘获治疗(BNCT)作为一种新兴的肿瘤治疗技术,正逐渐展现出其独特的优势和巨大的潜力,为肿瘤患者带来了新的希望。 近日,中国核技术网宣布我国硼中子俘获治疗(BNCT)技术取得重要进...
免疫管家 2025-11-28
当癌细胞在体内悄然蔓延,当传统疗法已无力回天,医学的突破往往在最需要的时刻降临。硼中子俘获疗法(BNCT)的出现,犹如一道精准的“狙击手”,为无数陷入治疗困境的癌症患者带来了新的希望。这项创新技术正以其独特的治疗原理和卓越的临床效果,在全球医疗界掀起一场精准抗癌的革命。
免疫管家 2025-11-19
2020年,日本正式批准了硼中子俘获疗法(BNCT)上市,为头颈癌患者带来了新的选择。这次批准,点燃了一场全球性的研发与应用热潮,让硼中子俘获疗法(BNCT)正式步入商业化医疗舞台惠及癌症患者。
免疫管家 2025-11-17

京ICP备2024050367号 | 互联网药品信息服务资格证书:(京)-非经营性-2024-0007
Copyright ©
康和源(北京)健康科技有限公司 版权所有 https://www.myimm.net