1994年,Jarmo腿上的一颗癌性痣被切除了。他的医生及早发现了癌变,并认为癌细胞不太可能扩散。 然而,多年后的 2009 年,癌症在 Jarmo 左侧腹股沟的一个淋巴结中复发。医生成功切除了这个癌变淋巴结,但伤口上方又出现了一个肿瘤,并且对包括手术和常规放疗在内的多种疗法均产生抵抗。
免疫管家 2026-03-25
1994年,Jarmo腿上的黑色素瘤被切除,医生认为早期发现不太可能扩散。然而15年后,癌症在他的左腹股沟淋巴结复发。尽管手术切除了癌变的淋巴结,但伤口上又长出了新的肿瘤,对手术和常规放疗等多种治疗产生了抵抗。 就在传统治疗手段几乎用尽时,Jarmo的医生们想到了一个当时还处于临床试验阶段的新技术-硼中子俘获疗法...
免疫管家 2026-03-24
2026年3月20日,鹏博(海南)硼中子医院顺利完成了第2例硼中子俘获治疗(BNCT)患者的临床治疗。继首例舌癌患者治疗后,该院在头颈部恶性肿瘤BNCT临床治疗领域再添新案例。
免疫管家 2026-03-23
近日,在海南博鳌乐城国际医疗旅游先行区成功完成了国内首台获批BNCT治疗系统的首次临床应用。来自河南的晚期复发性舌癌患者薛先生成为这一创新疗法的首位受益者。治疗仅持续约35分钟,过程顺利,治疗后患者精神面貌良好,饮食和日常生活已恢复正常,未出现明显严重不良反应。
免疫管家 2026-03-23
近年来,一种名为“硼中子俘获疗法”(BNCT)的前沿技术,因其“只杀癌细胞,不伤正常组织”的精准特性,在国际肿瘤治疗领域备受瞩目。其中,日本作为全球BNCT技术临床应用的先行者,为难治性癌症患者提供新的治疗选择。
免疫管家 2026-03-19
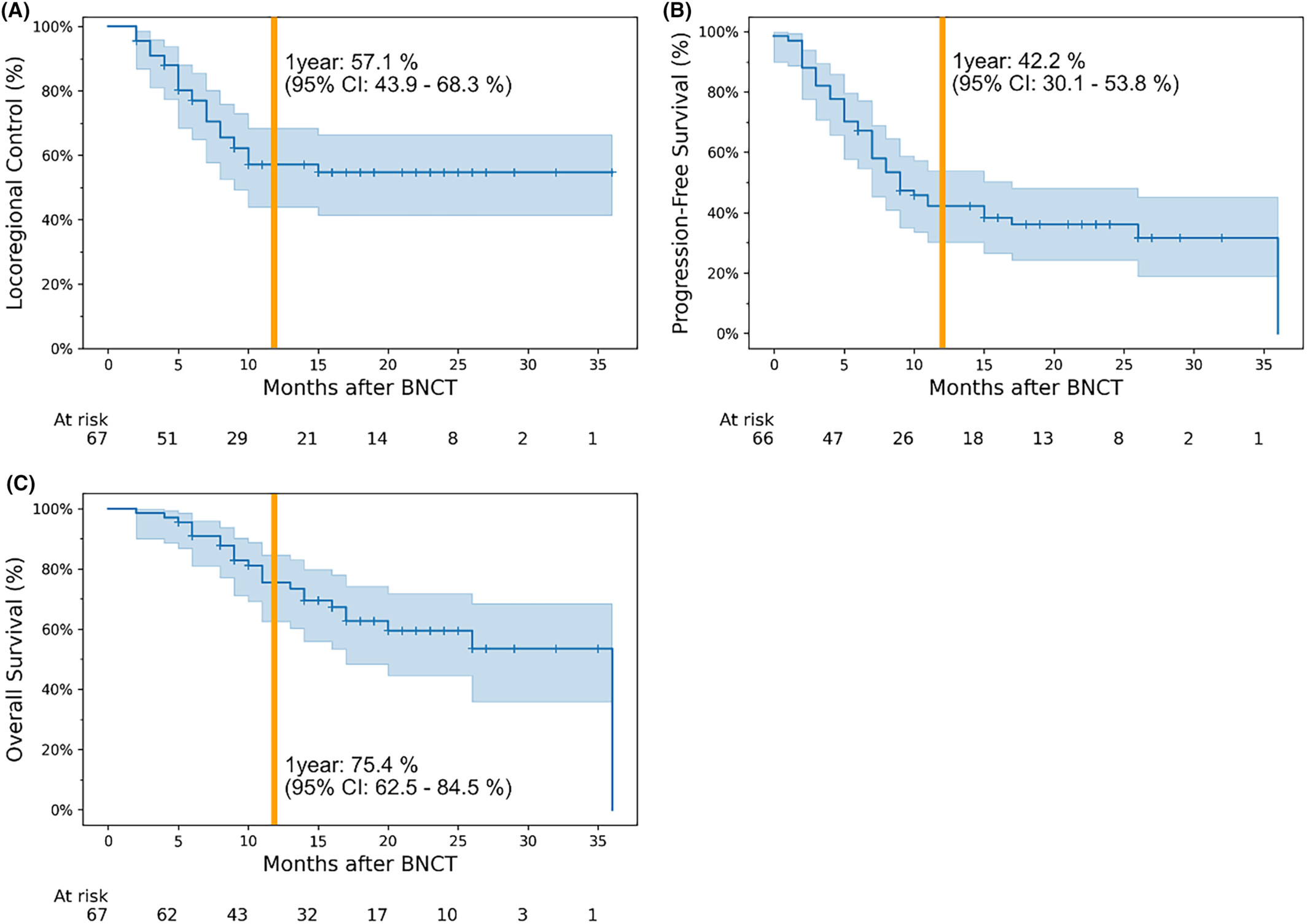
近期,一项发表于《Critical Reviews in Oncology/Hematology》的Meta分析,系统评估了硼中子俘获疗法(BNCT)治疗局部复发性头颈癌(LRHNC)的疗效与安全性。
免疫管家 2026-03-12
2月13日,日本一项发表在《Frontiers in Oncology》上的回顾性研究,为我们揭示了硼中子俘获疗法在治疗“无法切除且不适合根治性放疗”的口腔癌患者中的真实表现。
免疫管家 2026-03-05
2022年,吴阿姨被诊断为右牙龈鳞癌,化疗和靶向药物治疗后病情仍未得到有效控制。于是,她成为了厦门弘爱医院BNCT中心首批临床研究参与者之一。如今,医护人员在家访时看到的是精神矍铄、谈笑风生的吴阿姨,她良好的状态为这项创新疗法提供了最生动的证明。
免疫管家 2026-02-05
1月21日,日本研究人员发表了硼中子俘获疗法(BNCT)用于放射治疗后复发性高级别脑膜瘤的II 期研究结果。 结果显示:BNCT 组和对照组中 WHO 2 级脑膜瘤患者的中位无进展生存期分别为 15.4和 1.4个月,BNCT组 WHO 3 级脑膜瘤患者的中位无进展生存期为 8.5 个月,而对照组则未确定。BNC...
免疫管家 2026-01-29
近日,国家药监局在北京召开硼中子俘获治疗系统工作推进会,会议要求“在保证安全的基础上全力推进硼中子俘获治疗系统等高端医疗装备加快落地”,这标志着我国在尖端肿瘤治疗技术领域迈出关键一步。
免疫管家 2026-01-22

京ICP备2024050367号 | 互联网药品信息服务资格证书:(京)-非经营性-2024-0007
Copyright ©
康和源(北京)健康科技有限公司 版权所有 https://www.myimm.net